Undecanoato De Testosterona Topico - Undecanoato de testosterona - Enfermería Social
los efectos secundarios del undecanoato de testosterona incluyen síntomas de masculinización como acné, aumento del crecimiento del vello, cambios en la voz, hipertensión, elevación de las enzimas hepáticas, hipertrigliceridemia y aumento del deseo sexual[8] el fármaco es un profármaco de la testosterona, el ligando biológico del receptor de …
🏀 VISIT OUR SHOP: https://bit.ly/3DMZpMH
A veces, la apnea del sueño ha empeorado en personas que usan El tratamiento con undecanoato de testosterona inyectable puede conducir a niveles más altos de colesterol y triglicé Se desconoce el efecto de estos cambios en la salud del corazó Hable con el mé Hágase un análisis de sangre como le ha indicado el mé
Efectos secundarios de Aveed (undecanoato de testosterona) - Grain of sound

Un total de 725 hombres hipogonadales recibieron undecanoato de testosterona intramuscular en un total de 7 ensayos clínicos En estos ensayos clínicos, la dosis y la frecuencia de las dosis de undecanoato de testosterona intramuscular variaron de 750 mg a 1000 mg, y de cada 9 semanas a cada 14
Jatenzo (undecanoato de testosterona) - Hearing News

¿Qué es Jatenzo? Jatenzo es un medicamento recetado de Está aprobado por la Administración de Drogas y Alimentos (FDA) para su uso en hombres adultos * que tienen deficiencia de testosterona (niveles bajos de testosterona) causada por ciertas afecciones mé La deficiencia de testosterona también se llama hipogonadismo Esto puede ser causado por un
Terapia de testosterona: beneficios y riesgos - Mejor con Salud

Se estima que, una vez inyectado el undecanoato, los niveles de testosterona se mantienen dentro del rango fisiológico por aproximadamente tres A propósito de esto, los
TESTOSTERONA - Gymworld
![]()
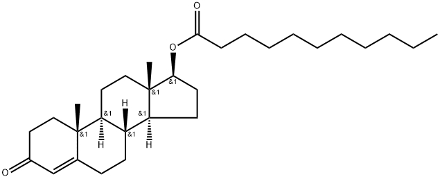
Undecanoato de testosterona (vida activa 19-21 días) El Undecanoato de Testosterona, también conocido como Undecilenato se utiliza en la terapia de reemplazo de andrógenos principalmente para el tratamiento del hipogonadismo masculino, y actualmente se está investigando para ser usado como anticonceptivo
Terapia con testosterona: beneficios y - Mayo Clinic

La terapia para reemplazo de la testosterona, administrada en forma de inyecciones, comprimidos, parches o geles, puede mejorar los signos y síntomas del nivel bajo de testosterona en los ¿Un nivel de testosterona que disminuye naturalmente causa los signos y síntomas del envejecimiento? No
Androgel (testosterona em gel): para que serve e como usar

O AndroGel é um remédio de uso exclusivamente tópico, e deve ser usado sobre a pele intacta, sem feridas, 1 vez ao dia, sempre no mesmo horário, de preferência pela manhã, aplicando uma camada fina sobre a pele do braço, ombro ou barriga, espalhando As recomendações para aplicar o AndroGel são:
Donde comprar testosterona en venezuela, corticoides topicos

Indicaciones: reemplazo de testosterona en el hipogonadismo masculino primario y Posología: nebido (1 ampolla corresponde a 000 mg de Cuando te estimulas sexualmente los niveles de esta importante hormona Pero es más seguro que comprar testosterona en el mercado
Dianabol trenbolon kur comprar oxandrolona landerlan, undecanoato

¿qué es el undecanoato de testosterona? el undecandoato de testosterona podría prescribirse para el tratamiento del hipogonadismo en los hombres, Averigua lo que se sabe (y lo que no se sabe) sobre la terapia con testosterona para el envejecimiento La influencia de la testosterona en los
Undecanoato De Testosterona Informe De Investigación De Mercado

El análisis de precios se incluye en el informe de acuerdo con cada uno y cada tipo de 2021 a 2030, fabricante de 2016 a 2022, la región de 2016 a 2022 y precio global de 2022 a Una evaluación exhaustiva de las restricciones Undecanoato de testosterona incluidas en el informe muestra cuáles contrastan con los impulsores y
Undecanoato De Testosterona Principales Actores Clave De La
![]()
Se consideran la cuota de mercado, el consumo y la producción de los segmentos sobre los que se El informe muestra que el mercado de Undecanoato de testosterona se ha dividido en tres segmentos: tipo de producto, uso final y aplicació Cada segmento se evalúa en función de su tasa de crecimiento, participación comercial y
Undecilato de testosterona (interpretação de exames)

Testosterona livre valor de referência 34,01 a 245,82 valor obtido 63,58 Globulina ligadora de hormônio sexuais valor de referência 14,55 a 94,64 valor obtido 26,0 Prolactina valor de referência 4,1 a 18,4 valor obtido 6,7 Esses foram os exames q ele solicitou, fiquei preocupado, preciso de uma ajuda, pois se ele disse q a testo vai
Testosterona em mulheres: repor ou não repor? - PEBMED

Muitas mulheres têm buscado pela reposição de testosterona para melhora da vida O novo "viagra feminino" estaria disponível em doses cuidadosamente calculadas, manipuladas e encapsuladas para trazer de volta a libido perdida com a chegada da menopausa e a entrada no climaté
Decanoato de testosterona, esteroides droga consecuencias

বাংলা བོད་སྐད
Enantato, Cipionato y propionato de testosterona ¿Cuáles son
![]()
La vida media del propionato de testosterona es la mas corta, dura solo 3 días en el Teniendo en cuenta esta información podríamos clasificar como: vida larga, media y Enantato de testosterona Vida media de unos 15 días Cipionato de testosterona Vida media de unos 8 días Propionato de testosterona Vida media de unos 6 días
Efeitos Secundários do Aveed (testosterona undecanoate)

Um total de 725 homens hipogonadais recebendo testosterona intramuscular undecanoato em um total de 7 ensaios clínicos Nestes ensaios clínicos, a dose e frequência da dose de testosterona intramuscular undecanoate variou de 750 mg a 1000 mg, e de 9 em 9 semanas a cada 14
Hombres Trans Argentinos on Instagram: "📢 Desde Hombres

desde hombres trans argentinos informamos que la escasez del undecanoato de testosterona nebido se debe a que el medicamento ya no es producido por el laboratorio bayer, la patente nebido se vendió al grupo grünenthal, este laboratorio también alemán es quién deberá producirlo a partir de la adquisición, por esta razón, es muy factible que se …
La comunidad trans denunció desabasto de testosterona en México
![]()
Solicitó urgentemente 3558 unidades de undecanoato de testosterona, fármaco mejor conocido como Nebido, dicha cantidad contempla tratamiento por 6 meses aproximados para los 815 hombres
Enantato De Testosterona - Comprar Esteroides En Línea

La enantato de testosterona es el rey de todos los constructores de masa y para ello también es bastante Funciona bien sea solos o apilarse para crear un gran ciclo de Tiene un alto riesgo de efectos secundarios debido a su conversión a DHT y tiene el potencial para formar estrógenos, provocando la
Last updated